アーカイブ情報
2025/11/12
【固体電解質材料】東京都立大学と鳥取大学の研究グループ、イオンネットワークが高安定・高伝導を両立させることを発見
全固体電池(注1)などの次世代エネルギー貯蔵技術では、安全性と高性能を両立する固体電解質材料の開発が求められている。従来、固体中のイオン伝導性を高めるためには、構造をゆるめてイオンを動きやすくする必要があったが、その結果として材料の安定性が低下するという根本的な問題があった。
東京都立大学大学院理学研究科の栗田玲教授、石川陸矢(博士後期課程)、鳥取大学の高江恭平准教授らの研究グループは、原子がランダムに分布したランダム置換結晶(注2)に注目し、その中でリチウムイオンがどのように動くのかを分子動力学シミュレーションによって解析した。その結果、リチウムイオン濃度がある臨界値(約20%)を超えると、リチウムイオン同士がつながってネットワークを形成し、導電率が急激に向上することを発見した。この閾値(いきち)は、パーコレーション理論(注3)が予測する「連結の臨界点」と一致しており、結晶構造の中にイオン流路が自発的に生じることを明らかにした。
このメカニズムにより、結晶構造を壊すことなく液体電解質に匹敵する導電率(6.8×10⁻3 S/cm)を実現できることが示された。さらに、結晶の方向に依存しない等方的なイオン伝導が確認され、実用材料設計における新しい普遍原理として期待される。
本研究は、固体電解質材料において「高安定性」と「高伝導性」という相反する性質を調和させる新しい設計指針を提示するものであり、次世代固体電解質の開発に大きな一歩を示した。
本研究成果は、2025年11月3日付けでAmerican Physical Societyが発行する英文誌Physical Review Materialsに発表された。本研究の一部は、学術振興会科学研究費補助金(24KJ1854、24K00594、25H01978、20H01874)、東京都立大学みやこMIRAIプロジェクトの支援を受けて行われた。
<ポイント>
1.ランダムに原子が分布した結晶中で、イオンがネットワーク状に連結すると急激に導電率が上昇することを初めて明らかにした。
2.イオン濃度が約20%を超えると導電経路が結晶全体に広がることを確認し、この臨界値がパーコレーション理論の臨界点と一致することを示した。
3.結晶構造を保持したまま液体並みの導電率(6.8×10⁻3 S/cm)を実現可能であり、従来両立が困難だった安定性とのトレードオフを打破した。
4.このイオンネットワークの原理は、リチウム系に限らず他のイオン結晶や高エントロピー材料にも拡張可能で、普遍的な材料設計原理として新しい電池材料開発の基盤を築くものである。
研究の背景
エネルギー転換社会の実現に向けて、安全性と高性能を両立する固体電解質材料の開発が求められている。現在のリチウムイオン電池で使われている液体電解質は高い導電性を持つ一方で、可燃性や反応性が高く、安全性の面で課題が残っている。そのため、電解質を固体化した全固体電池が次世代エネルギー貯蔵技術として注目されている。しかし、固体中でイオンを高速に移動させることは容易ではなく、材料設計において高い導電性と構造安定性の両立が大きな課題であった。従来はイオンの濃度を上げるためにLiイオンのドープ(注4)を行っていたが、過剰なドープは結晶構造を不安定化させ、かえって導電率を低下させることがあった。
この問題を解決するために、本研究グループはランダム置換結晶に注目した。ランダム置換結晶は、複数の元素が無秩序に混在する結晶構造を持つ材料群で、これまで高エントロピー合金などの分野で強度や耐熱性の向上が報告されている。本研究では、この「無秩序さ」がイオン伝導にどのように寄与するのかを明らかにすることを目的とした。
研究の詳細
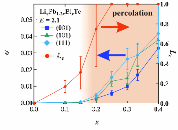
本研究では、ランダム置換結晶の中でイオンがどのように動くのかを分子動力学(MD)シミュレーションによって解析した。NaCl型構造をもつLixPb1-2xBixTeで、リチウム(Li⁺)の濃度を変化させてイオン伝導の挙動を調べた。Li⁺は小さなイオン半径を持つため、結晶内での高速移動が期待される。シミュレーションの結果、Li⁺濃度が約20 %を超えると、導電率が急激に上昇することが明らかになった(図1)。
この臨界値は、パーコレーション理論が予測するサイト連結の閾値と一致し、イオンがネットワークを形成して結晶全体に連続的な導電経路をつくることが原因であることが分かった。つまり、ランダムに配置されたイオンが一定以上の濃度に達すると、局所的な運動が協調的に結びつき、“つながることで流れる”という新しい伝導メカニズムが発現する。
さらに、結晶構造を壊すことなく、このネットワークが形成される点が重要。シミュレーション中でも格子構造は安定に保たれ、電場を印加しても崩壊しないことが確認された。また、電場の方向(結晶方位)を変えても導電率の大きさがほとんど変わらない等方的な伝導が観測された。これは、イオンネットワークが結晶内で均一に広がっていることを示している。
個々のイオンの動きを可視化すると、隣接するLi⁺イオンが連鎖的に移動する「ノックオン機構」(注5)が確認された(図2)。この協調運動は、単独のイオン拡散とは異なり、あるイオンの変位が隣のイオンの移動を誘発する“ドミノ効果”のような動きで、効率的な伝導経路を形成していることが明らかになった。
最終的に得られた導電率は6.8×10⁻3 S/cmに達し、液体電解質と同等の値を示した。しかも、結晶の熱的・化学的安定性を損なうことなく実現されており、イオンネットワークの形成が高伝導と高安定を両立させる鍵であることが分かった。


研究の意義と波及効果
本研究は、ランダムな結晶構造の中にイオン同士が協調して動くネットワーク構造が自発的に生じることを明らかにし、これまで両立が困難だった高伝導性と高安定性を同時に実現する新原理を示した。パーコレーション理論に基づくこの仕組みは、構造を壊すことなく液体並みの導電率を達成できる普遍的メカニズムであり、材料設計の指針として高い汎用性を持つ。また、この原理はリチウム系に限らず他のイオン種にも応用可能で、高エントロピー材料や全固体電池など次世代エネルギー材料の開発に新たな展開をもたらすことが期待される。
(注1)全固体電池:電解質に液体ではなく固体材料を用いた電池。可燃性の液体電解質を使わないため安全性が高く、電解質の漏れや熱暴走のリスクが小さい。リチウムイオン電池の次世代技術として世界的に研究が進められている。
(注2) ランダム置換結晶:結晶中の原子やイオンを別のものにランダムに入れ替えた結晶。ハイエントロピー合金などランダムに置換することで性能が向上することがある。
(注3) パーコレーション理論:多数の要素がランダムに配置された系で、どの程度つながると全体が連結するかを扱う物理・数学の理論。無秩序系の普遍的な性質を理解するための基本概念として、物理学・材料科学・地球科学など幅広い分野で応用されている。
(注4) ドープ:結晶中に、もとの構成原子とは異なる異種元素(不純物原子)を少量加える操作のこと。これにより、キャリアの数を調整して、電気伝導性や光学特性を制御することができる。半導体や固体電解質の性能を最適化するために広く用いられる技術。
(注5) ノックオン機構:原子やイオンが移動する際に、隣の位置にある原子やイオンを押し出すようにして次々と動かす連鎖的な移動のこと。最初の一つの動きが周囲に伝わるため、「ドミノ倒し」のように複数の粒子が協調的に動くのが特徴である。
<発表論文>
“Cooperative Ion Conduction Enabled by Site Percolation in Random Substitutional Crystals”
Rikuya Ishikawa, Kyohei Takae and Rei Kurita,
Physical Review Materials, 9, 115401 (2025)
DOI: https://doi.org/10.1103/9dxs-35z7
- カテゴリー
- コンバーティングニュース

